新文道特別設立了《院校情報數據欄目》旨在為同學搜集院校相關信息,希望助大家一臂之力搞定擇校,如果有想了解的院校可以后臺留言哦。
地理位置:湖北省武漢市
學校簡介
武漢理工大學是首批列入國家“211工程”重點建設的教育部直屬全國重點大學,是首批列入國家“雙一流計劃”建設高校,是教育部和交通運輸部、國家國防科技工業局共建高校。辦學122年特別是近70年來,學校共培養了60余萬名高級專門人才,是教育部直屬高校中為建材建工、交通、汽車三大行業培養人才規模最大的學校,已成為我國“三大行業”高層次人才培養和科技創新的重要基地。
學費設置
武漢理工大學
地理位置:湖北省武漢市
學校簡介
武漢理工大學是首批列入國家“211工程”重點建設的教育部直屬全國重點大學,是首批列入國家“雙一流計劃”建設高校,是教育部和交通運輸部、國家國防科技工業局共建高校。辦學122年特別是近70年來,學校共培養了60余萬名高級專門人才,是教育部直屬高校中為建材建工、交通、汽車三大行業培養人才規模最大的學校,已成為我國“三大行業”高層次人才培養和科技創新的重要基地。
學校自2000年合并組建以來,經過20年的不懈努力和艱苦奮斗,構建了支撐武漢理工大學長遠發展的學科體系。我校現有一級學科博士學位授權點19個,一級學科碩士學位授權點45個,有22個碩士專業學位授權類別,39個碩士專業學位授權領域。在國家第四輪學科評估中,材料科學與工程獲A+,機械工程、交通運輸工程、設計學、馬克思主義理論等學科獲B+。
學校現有在崗研究生指導教師2000余人,年招收研究生6000余人,在校博士、碩士研究生18000余人。
研究生院網址:http://gd.whut.edu.cn/
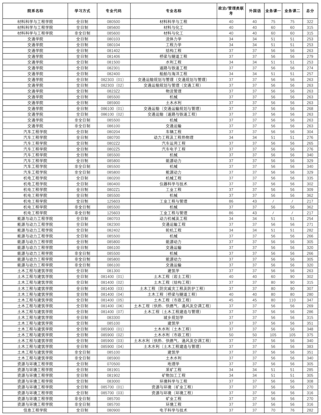
招生專業及復試線




學費設置


本文素材來源于網絡,由武漢新文道考研進行整理,想了解更多關于考研相關資訊,敬請關注新文道考研,我們將為同學們奉上全面完整的時下考研相關資訊。







關注武漢新文道微信